Are you a Florida resident looking to create a Last Will and Testament but don’t want to spend money on legal fees? Look no further! With our free printable Florida Last Will and Testament form, you can easily draft a legally binding document to ensure your final wishes are carried out. Whether you want to specify how your assets will be distributed, appoint guardians for your children, or designate an executor for your estate, this form will help you cover all the important details without breaking the bank.
Simple and Convenient Template
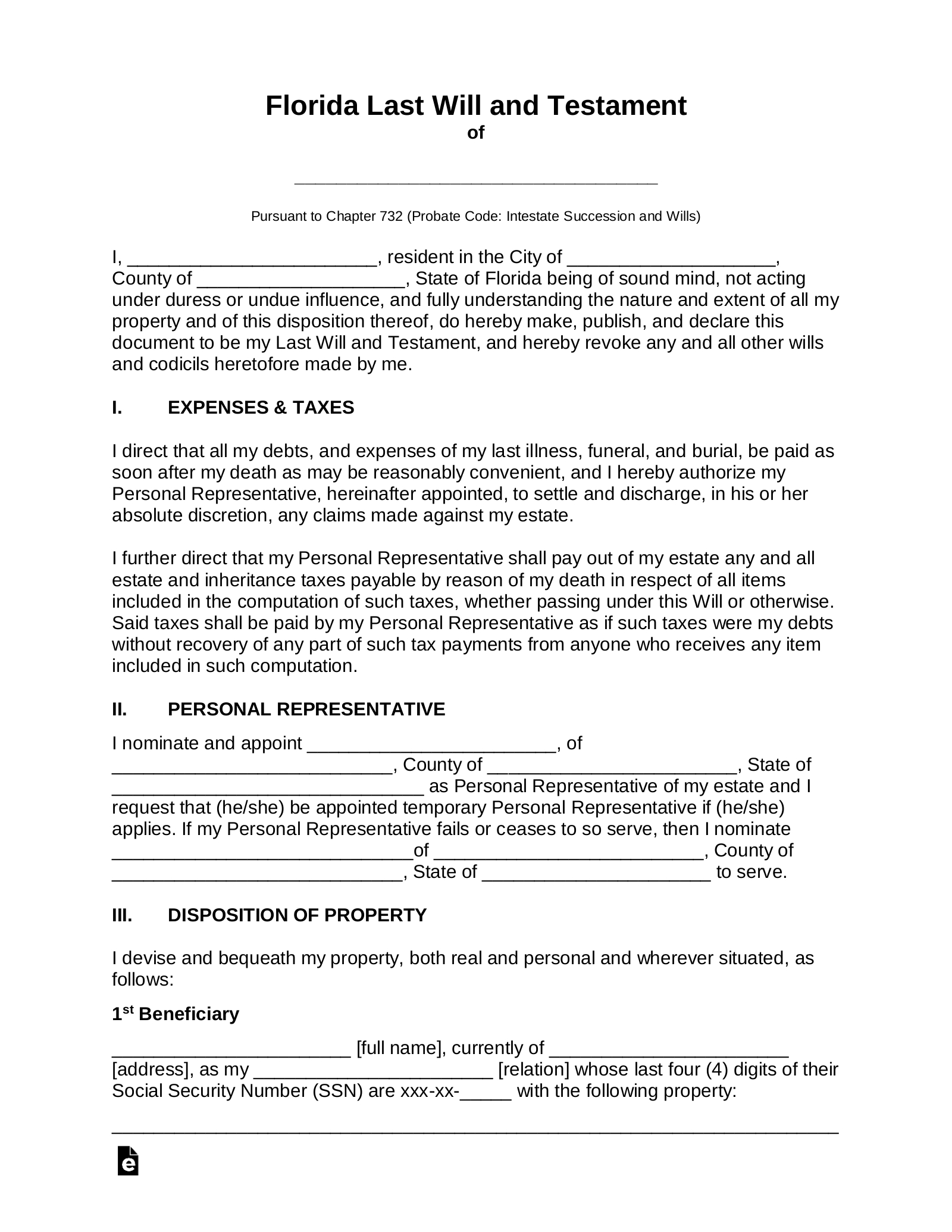
Our free printable Florida Last Will and Testament form comes in a simple and convenient template that is easy to fill out. You can customize the document to suit your specific needs and preferences, making sure that every detail is tailored to your unique situation. The form includes all the necessary sections required for a comprehensive Last Will and Testament, such as identifying information, asset distribution instructions, and appointment of guardians or executors. With this template, you can have peace of mind knowing that your final wishes are clearly outlined and legally binding.
Legal and Valid Document
It’s important to note that while our free printable Florida Last Will and Testament form is a convenient tool for creating a basic will, it is still crucial to ensure that the document meets all legal requirements in the state of Florida. We recommend consulting with a legal professional to review your completed form and provide guidance on any additional steps needed to make it a legally valid document. By taking this extra precaution, you can avoid any potential issues or challenges that may arise during the probate process. Don’t leave your final wishes to chance – use our free printable form to create a solid foundation for your estate planning today.
<”img” src="”https://printable-map-az.com/wp-content/uploads/2025/10/fillable-florida-last-will-and-testament-form-free-formspal-pertaining-to-free-printable-florida-last-will-and-testament-form.webp”" alt="”Fillable" 0="Florida" 1="Last" 2="Will" 3="And" 4="Testament" 5="Form" 6="[Free"/> | Formspal pertaining to Free Printable Florida Last Will And Testament Form”]


